11月20日下午,宽禁带半导体材料与器件工程研究中心团队于崇真楼北楼B2045成功举办了微电子学院2025年第四期研究生论坛。本次论坛吸引了团队成员及各方向导师的积极参与,现场学术气氛浓厚。
在论坛报告环节,莫澄霄、左逸林、尤日健、王媛、马志恒五位同学依次就各自研究领域的最新进展进行了详实汇报。随后的交流环节中,与会师生围绕汇报内容展开了热烈而深入的学术探讨。导师们对同学们的研究成果予以充分肯定,并就其中存在的难点与挑战提供了宝贵的指导与建设性建议。
此次论坛为研究生们提供了高质量的学术交流平台,不仅有效拓宽了科研视野,也激发了创新思维。与会同学纷纷表示受益匪浅,期待未来能持续参与此类活动,助力自身科研能力的全面提升。
汇报内容展示:
莫澄霄:本次组会汇报了近期在利用超表面-FBAR集成结构增强非制冷红外传感器方面研究的工作进展。研究的核心创新点在于选用氮化钛(TiN)作为超表面材料,利用其等离子体特性实现高效光热转换。通过有限时域差分法(FDTD)仿真优化超表面结构参数(如TiN盘厚度、SiO2介质层厚度及阵列形状),在目标波长2.2μm处实现了81%的窄带吸收率,相较于无超表面设计,吸收效率提升了8倍以上。器件的FBAR部分采用Mo/AlN/ScAlN/Mo/SiO2压电堆叠结构,其中Sc掺杂AlN提高了压电系数。当超表面吸收的红外辐射转化为热能后,热量传导至压电层,引起其温度变化,进而由于声速降低导致谐振频率发生偏移。电磁场分布模拟显示,在共振波长下,结构内激发了强烈的电磁共振,从而有效局域光能。实验结果表明,该器件的响应率高达329 Hz/nW,温度系数为-50 kHz/°C(即-22.3 ppm/K)。通过对比无超表面、半覆盖和全覆盖超表面的器件性能,验证了TiN超表面对于提升响应率的显著作用。此外,循环功率测试表明器件具有良好的响应线性度和稳定性,无显著滞后效应。这项工作通过超表面与FBAR的巧妙协同设计,成功地将光、热、机械多个物理场耦合,实现了高灵敏度、快速响应的红外探测,为下一代高性能非制冷红外探测器的发展提供了一条切实可行的技术路径。
左逸林:本次组会汇报一下近期在超表面完美吸收器及折射率传感的工作进展。成功设计并验证了一种基于α-MoO3纳米圆盘的超表面完美吸收器及折射率传感。α-MoO3 的各向异性为近场—偏振相关的精确电磁波操控提供了未开发的潜力;然而,在近红外高Q完美吸收体、超窄带宽与传感应用方面的潜力尚未被充分探索。在本工作中,提出并数值研究了一个由在 SiO2 上的 α-MoO3 纳米圆盘方阵(配有一层 SiO2 间隔层,下面为金膜)构成的各向异性超材料完美吸收器(MPA)。通过相应的电场分布和能量吸收分析揭示共振机制可归因于 α-MoO3 的晶体各向异性驱动的多极(偶极子与四极子)共振、α-MoO3 纳米圆盘阵列的 瑞利异常,以及在 SiO2 介质层中形成的 Fabry–Pérot 谐振之间的耦合。对多种参数的变化对 MPA 光学特性的影响进行了详细探讨,完美吸收带可实现较高几何容忍性。该工作所提出的设计为超窄、偏振相关的各向异性超材料提供了新的设计思路,并为基于各向异性材料的芯片光子学与传感技术的高性能集成器件铺平了道路。
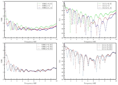
尤日健:本次组会汇报了近期在柔性纺织材料宽带天线设计与优化方面的工作进展。研究的核心在于,采用纺织结构一体化成型技术,直接以特定编织法制备Vivaldi天线的介质基板与辐射贴片,实现了天线在1-10GHZ的良好阻抗匹配。天线设计部分,选用了经典的Vivaldi天线构型,该构型以其结构简单、易于制造和优异的宽带特性而闻名。在性能调控部分,我们系统分析了介质基板参数(厚度H、宽度subw、长度tl)以及渐变槽线函数(y = s * e^(r * t))中的关键系数(s, r)对天线回波损耗(S11)与电压驻波比(VSWR)的影响规律。研究发现:介质厚度H=1mm、宽度subw=135mm时,天线等效的容抗与感抗达到最佳平衡,在宽频带内形成了良好的阻抗变换,使得S11与VSWR曲线整体下移,表明能量反射被显著抑制。渐变槽线参数s=1, r=0.04时,天线的电流分布沿槽线实现了平滑的渐变过渡。特别是在低频段(如1GHz附近),该参数组合有效降低了因结构突变引起的感抗剧增,使得低频段的模式激发更有效率,从而显著改善了该区域的S11性能。最终天线在1-10GHZ内基本实现了良好的阻抗匹配(S11<-10db)。本工作通过“纺织材料结构化设计 + Vivaldi 天线参数优化” 的协同思路,为可穿戴电子、共形天线等领域提供了轻量化、高带宽的技术方案。后续通过实物测试与性能迭代,有望进一步推动纺织基电子器件在宽带通信场景中的工程化应用。
王媛:本次组会汇报一下近期在超低介电常数微波介质陶瓷方面的研究工作进展。成功设计并制备了一系列新型KLi3Ti2Si12O30–x wt% ZnO (0 ≤ x ≤ 12)陶瓷材料,以及在贴片天线器件方面上的应用,系统研究了ZnO掺杂对其相结构、烧结行为与微波介电性能的影响。研究发现,仅通过化学计量反应无法形成目标KLi3Ti2Si12O30相,而引入ZnO作为烧结助剂不仅显著将烧结温度从1075℃降低至825℃,还促进了主相的形成,在x = 1-5范围内获得了KLi3Ti2Si12O30相含量超过80 wt%的复合陶瓷。其中,KLi3Ti2Si12O30–5 wt% ZnO陶瓷在925℃烧结后表现出优异的综合性能:超低相对介电常数εᵣ = 4.78,高Q×f值 = 10952 GHz,近零的谐振频率温度系数τf =–6.72 ppm/°C,以及在25-214℃范围内极低的热膨胀系数(CTE = +1.6 ppm/°C)。该材料还表现出与银电极良好的共烧兼容性,显示出在低温共烧陶瓷(LTCC)中的应用潜力。基于该陶瓷制备的介质贴片天线实现了82.35%的辐射效率和6.41 dBi的峰值增益,仿真与实测结果吻合良好,验证了其在高频通信系统中应用的可行性。下一步将推动该材料体系在更多LTCC器件中的实际应用验证。


马志恒:本次组会汇报了拓扑耦合微波元带的二阶异常点的工作进展。设计了一种一种基于微带波导的超表面,具有多个拓扑界面,通过调整界面态之间的耗散耦合实现异常点。展示了由两个非平凡界面组成的微波元带中实现二阶异常点,通过整它们之间的间隔距离,可以调节界面态之间的耦合。在强耦合区域,元带的传输光谱呈现出多个峰,表明系统处于 PT 对称相。随着耦合强度的降低,这些峰逐渐合并为一个峰,表明发生了 PT 相变。具体而言,在二阶和三阶例外点附近,界面态的电场分布从对称模式演变为不对称模式,这与系统有效哈密顿量的本征态一致。此外,在临界耦合点的简并性对外部扰动高度敏感,这突显了其在介电传感方面的潜在应用。